
Dr. Scott Weinert
Office: 319 Physical Science I
Phone: (405) 744-6543
charles.s.weinert@okstate.edu
Latest News
-
Vanessa Successfully Defends Her PhD Thesis!
On July 10th 2025, Vanessa Fortney sucessfully defended her PhD thesis. She came to OSU with very...
-
Laura delivers a poster at the 2025 CSC in Ottawa
Laura Levescy presented her research at the poster session at the 2025 Canadian Society for...
-
Vanessa presents her reserach at the CSC 2025 in Ottawa
Vanessa presents her research at CSC 2025 in Ottawa Vanessa gave an oral presenation of her latest...
-
Weinert group attends the Spring 2025 MICA Meeting
Vanessa, Laura, and Scott attended the Spring 2025 Midsouth Inorganic Chemists Association (MICA)...
-
Vannessa presents her latest results at CSC Winnipeg
Vanessa Fortney gave a talk during the General Inorganic Session at the Canadian Soicety of...
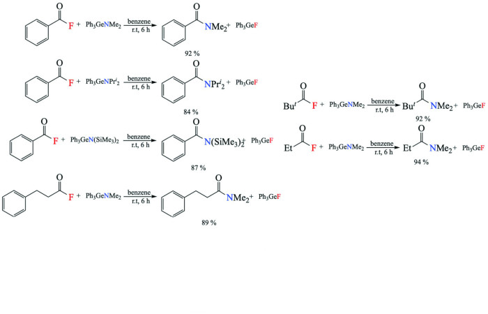
Ardalan's Paper Accepted in Organometallics
Ardalan Hayatifar, along with current Ph.D. students Sangeetha Komanduri and Alex Shumaker and former undergrad Sydney Hallenbeck, just got a paper accepted to Organometallics! Ardalan holds a record for fastest publication for a Ph.D. student after joining the group. Congratulations!















